Il logo di batmath
www.batmath.it

Esercizi su approssimazioni con la formula di Taylor - 2

Esercizio 1 Valutare l'errore che si commette approssimando ln(3/2) con il polinomio di Taylor di ln(1+x) di grado n, con punto iniziale 0.

Il resto Rn(x) dello sviluppo di Taylor di ln(1+x) è img, essendo ξ un numero compreso tra 0 ed x oppure tra x e 0; nel nostro caso x = 1/2 e quindi 0 < ξ < 1/2. Quindi img. Se n è pari si ha img (per cui il valore ottenuto trascurando il resto è approssimato per difetto), mentre se n è dispari si ha: img (per cui il valore ottenuto trascurando il resto è approssimato per eccesso).


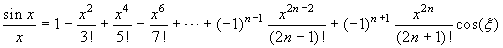
Esercizio 2 Se per calcolare sin(1/10) si usa il polinomio di Taylor di grado 5, quale errore si commette?

Si tratta di trovare una maggiorazione per il resto. Osserviamo che il polinomio di grado 6 coincide, per il seno, con quello di grado 5, per cui basterà trovare una maggiorazione per R7(1/10).  Si trova facilmente img.


Esercizio 3 Calcolare img, con un errore minore di 10-4.

Da img si ottiene il seguente sviluppo: img. Integrando i due membri tra 0 ed 1 si può ottenere il risultato voluto, pur di maggiorare opportunamente l'integrale del resto. Si trova, facilmente, che img. Questo numero vale 1/35280 se n = 3. Per n = 3 l'errore soddisferà le ipotesi richieste. Si può concludere che img.


Esercizio 4 Calcolare il polinomio di Taylor di grado 2 della funzione esinx e valutare l'errore che si commette approssimando la funzione con questo polinomio, nell'intervallo img. Per calcolare il polinomio di Taylor di grado 2 si potrebbero utilizzare gli sviluppi di ex e di sinx, ma dovendo valutare l'errore calcoliamo le derivate successive fino alla terza.

Si ha img. Dunque f(0)=1, f'(0)=1, f''(0)=1 e il polinomio di grado 2 è: img. Per maggiorare l'errore osserviamo che sinx ≤ x, da cui segue img. Tenendo conto della forma del resto si conclude che img.


Esercizio 5 Calcolare img con un errore inferiore a 10-7.

Dallo sviluppo di Taylor di et, di punto iniziale 0, otteniamo img. Siamo interessati a porre t = -x2, per cui t ≤ 0. Allora t ≤ ξ ≤ 0, da cui eξ ≤ 1. Se effettuiamo la sostituzione t = -x2 e integriamo tra 0 ed 1/10 troviamo img. Si osserva poi che  img. Basterà quindi trovare un n in modo che l'ultimo termine sia minore di 10-7: n=2 è il più piccolo valore che soddisfa questa richiesta. Ne segue che img.


Esercizio 6 Calcolare img con un errore inferiore a 10-7.

Si possono ripetere le considerazioni dell'esercizio 5, solo che ora bisogna trovare n tale che img. Utilizzando un programma di calcolo (es. Derive™ o Mathematica™) si vede che il primo valore che soddisfa la richiesta è n=33, un valore decisamente alto che rende, tutto sommato, l'approssimazione polinomiale di Taylor poco conveniente per il calcolo degli integrali. D'altro canto si può osservare che l'approssimazione in questione è, per costruzione, "perfetta" localmente, cioè in un intorno del punto iniziale, mentre può decisamente essere "brutta" se ci allontaniamo dal punto iniziale. Nel calcolo di un integrale, invece, il problema è quello di un'approssimazione globale in un intervallo: occorrerà applicare altri metodi. Solo per curiosità riportiamo il valore approssimato dell'integrale, ottenuto (ovviamente!!) con uno dei software citati, img: è chiaro che si tratta di una tenica di nessuna utilità pratica.

E' molto utile rendersi conto graficamente di quello che succede, anche in relazione alla notevole differenza che c'è rispetto all'esercizio precedente. Nelle figure qui sotto si possono vedere i grafici di img e dei polinomi di Taylor di grado n=3, n=25, n=50, di punto iniziale 0. Si vede subito che mentre nell'intervallo [0,1/10] l'approssimazione globale è subito buona, non altrettanto succede per l'intervallo [0,3].

funzione funzione e polinomio di Taylor di grado 3
funzione e polinomio di Taylor di grado 25 funzione e polinomio di Taylor di grado 50
pagina pubblicata il 16/12/2004 - ultimo aggiornamento il 16/12/2004