Il logo di batmath
www.batmath.it

Esercizi elementari sui limiti

In questo sito abbiamo proposto anche alcuni altri esercizi elementari.

Esercizio 1 img.

Esercizio 2 img.

Esercizio 3 img.

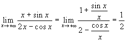
Esercizio 4 img.

Esercizio 5 img (il numeratore tende a +∞, il denominatore è strettamente positivo).

Esercizio 6 img (per il primo fattore si può porre cosx-1 = t).

Esercizio 7 img (nel primo fattore abbiamo posto sinx = t, nel secondo tanx = t).

Esercizio 8 img.

Esercizio 9 img.

Esercizio 10 img

img.

Esercizio 11 img.

Esercizio 12 img.

Esercizio 13 img.

Esercizio 14 img.

Esercizio 15 img.

Esercizio 16 img (L'esponente tende a -∞·(-∞)). Si osservi che il limite destro in zero non ha senso, perché la funzione non è definita a destra di zero.

pagina pubblicata il 08/11/2004 - ultimo aggiornamento il 09/11/2004