Il logo di batmath
www.batmath.it
pag.precedente | pag.successiva

Esercizi - 1

Premessa: Nella risoluzione proposta indicheremo con *) il passo base e con **) il passo induttivo. Abitualmente la verifica del passo base è una semplice questione numerica; per la verifica del passo induttivo riporteremo solo i punti essenziali, senza specifici commenti.

Esercizio 1

Provare che se a è un reale > 0, (1+a)n ≥ 1 + na, n appartiene N.

*) Se n=0 si ha 1 ≥ 1 che è vera.

**) Si ha poi: img. Da qui la conclusione.

Esercizio 2

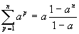
Provare che se a ≠ 1, img, per n >0.

*) Se n=1 si ha a = a che è vera.

**) Si ha poi: img. Da qui la conclusione.

La formula si può provare anche in via elementare, ricordando la regola per scomporre la differenza di due potenze (an-bn):

img. La conclusione è immediata.

Esercizio 3

Provare che, per n >0, img.

*) Se n=1 si ha 1 = 1 che è vera.

**) Si ha poi img
img. Da qui la conclusione.

Una variante dell'esercizio potrebbe essere: sapendo che la somma dei quadrati dei primi n naturali è un polinomio, trovarlo e verificare per induzione il risultato trovato. Sapendo che il risultato è un polinomio se ne può stabilire il grado, osservando che la somma in questione è costituita da n termini, di grado non superiore a 2: il polinomio richiesto avrà dunque grado non superiore a tre. Dovrà dunque essere del tipo An3 + Bn2 + Cn + D. Calcolando il valore di tale polinomio per n=1,2,3,4, si ottengono quattro condizioni (lineari) nelle incognite A, B, C, D. Il sistema formato permette di ottenere facilmente i coefficienti. Si ritrova, naturalmente, la formula precedente, che poi si prova come già visto.

Esercizio 4

Provare che, per n >0, img.

*) Se n=1 si ha 1 = 1 che è vera.

**) Per procedere si può ricordare che img. Questo consente di scrivere il secondo membro in forma compatta. Si ha poi: img
 img. Da qui la conclusione.

Anche per questo esercizio si può considerare una variante simile a quella dell'esercizio 3: questa volta il polinomio sarà di quarto grado, e si può procedere come indicato sopra.

Esercizio 5

Osservare che img. Trovare e dimostrare per induzione la formula che si induce da questi calcoli.

La formula da provare è: img, n > 0.

*) Se n=1 la formula si riduce al primo dei calcoli proposti.

**) Si ha poi: img. Da qui la conclusione.

Esercizio 6

Provare che, per n > 0, img.

*) Se n=1 si ottiene 1/2 = 1/2, che è vera.

**) Si ha poi: img
img. Da qui la conclusione.

La formula può essere anche dimostrata per via diretta, con una opportuna scomposizione delle frazioni in somma di frazioni: img.

Esercizio 7

Provare che, per n > 1, img.

*) Per n = 2 si ha 1-1/2 = 1/2 che è vera.

**) Se img, moltiplicando ambo i membri per img si giunge alla conclusione.

Esercizio 8

Provare che n! ≥ 2n-1, n > 0.

*) Per n = 1 si ha 1≥ 0, che è vera.

**) Si ha poi (n+1)! = (n+1)·n! ≥ (n+1)·2n-1 ≥ 2·2n-1 = 2n. Da qui la conclusione.

Esercizio 9

Provare che n2 > 2n + 1, per n > 2.

*) Per n = 3 si ottiene 9 > 7 che è vera.

**) Si ha poi: img. Da qui la conclusione.

Esercizio 10

Provare che 2n > n2, n > 4 (tenere conto del risultato dell'esercizio 9).

*) Per n = 5 si ha 32 > 25 che è vera.

**) Si ha poi: img.

Osservazione

Molte delle proprietà considerate in questi esercizi possono essere agevolmente dimostrate con i metodi dell'analisi, confrontando opportunamente grafici di funzioni. Le prove fornite qui si possono invece considerare di tipo elementare.

pag.precedente | pag.successiva
pagina pubblicata il 08/10/2003 - ultimo aggiornamento il 08/10/2003