Il logo di batmath
www.batmath.it

Forma trigonometrica: esercizi

Esercizio 1 Scrivere in forma polare il numero: img.

Si ha, intanto, img. Si osserva poi che l'angolo individuato dal numero dato è nel secondo quadrante. Allora da img oppure da img si trova img.


Esercizio 2 Scrivere in forma polare il numero img.

Si può procedere eseguendo prima la divisione con la forma algebrica, e si ottiene img. Se ne deduce che img, che θ sta nel primo quadrante e che img. Non è immediato trovare l'angolo notevole del primo quadrante che ha questo coseno. Se cerchiamo prima le forme polari del numeratore e denominatore troviamo che img. Allora img.


Esercizio 3 Rappresentare nel piano di Gauss le soluzioni dell'equazione Re(z)Im(z)=1.

Si tratta dei punti del piano dove xy=1, ovvero dell'iperbole equilatera della figura qui sotto.

iperbole equilatera


abs(z-i)≤ 1Esercizio 4 Rappresentare nel piano di Gauss le soluzioni della disequazione |z-i| ≤ 1.

Si può osservare semplicemente che, essendo |z-w| la distanza tra z e w, le soluzioni della disequazione sono tutti i punti del piano di Gauss che hanno distanza non superiore ad 1 dal punto i=(0,1): si tratta dei punti del cerchio di centro (0,1) e raggio 1. Per avere  una conferma si può anche porre z=x+iy: si ottiene |x+(y-1)| ≤ 1 ovvero img, da cui, elevando al quadrato, x2+(y-1)2 ≤ 1.


grafico soluzioniEsercizio 5 Risolvere l'equazione |z|2-z2-2iz=0, rappresentando le soluzioni nel piano di Gauss.

Posto z=x+iy si ottiene: x2+y2-(x2- y2+2xyi)-2ix+2y=0, ovvero 2y2+2y+i(-2xy-2x)=0. Uguagliando a zero le parti reale e immaginaria si ha: img. Le soluzioni sono: img. La loro rappresentazione nel piano complesso è qui a lato.


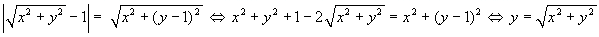
Esercizio 6 Risolvere l'equazione ||z|-1| = |z-i|.

Posto z=x+iy si ottiene, successivamente

img

A questo punto si può elevare al quadrato esplicitando la condizione y≥0 (già implicitamente contenuta nell'uguaglianza). Si ottiene img. Le soluzioni sono costituite dai punti del semiasse immaginario con y≥0.


Esercizio 7 Dati due complessi z e w, dimostrare che |z+w|2+|z-w|2=2|z| 2+2|w|2.

Conviene osservare che, per ogni numero complesso, |z|2=zimg. Si ha:

img

soluzione graficaDa qui segue subito l'uguaglianza richiesta.

Questa uguaglianza ha un'interessante interpretazione geometrica. Si esamini la figura qui a lato, tenendo conto che il vettore da w a z è z-w.

Se si applica il teorema di Carnot ai due triangoli Owz e Oz(z+w), si trova d2=a2+b2-2 abcosα, c2=a2+b2-2 abcosβ. Se si tiene conto che cosα e cosβ, sommando membro a membro si trova proprio l'uguaglianza proposta.


Esercizio 8 Calcolare img.

Naturalmente conviene trovare la forma polare del numero. Si ha ρ=2 e img, da cui img. Si ottiene allora: img.

 

pagina pubblicata il 28/02/2005 - ultimo aggiornamento il 01/11/2007