Il logo di batmath
www.batmath.it

Problemi riepilogativi di analisi delle funzioni reali di variabile reale - 2

Problema 26

Si consideri la curva γ di equazione y = 4x3 - 3x -1, e se ne disegni il grafico indicando con A il punto in cui interseca il semiasse positivo delle ascisse. Determinare poi:

  1. l'equazione della tangente a γ nel punto B di intersezione con l'asse delle ordinate e per quali valori dei coefficienti angolari m le rette per B sono secanti γ in altri due punti;

  2. le equazioni delle tangenti a γ che sono perpendicolari alla retta 3x - 5y = 0;

  3. l'area delle regioni finite di piano comprese tra la curva data e la parabola di equazione y = -2x2 + x +1;

  4. Una retta appartenente al semipiano delle ordinate positive e parallela all'asse delle ascisse che, incontrando in M ed N la parabola data formi il triangolo AMN di area massima.

Problema 27

Si consideri la funzione img.

  1. Determinare i coefficienti non nulli a, b, c, d in modo che la retta y=1 sia un asintoto orizzontale, che la retta x=-3 sia un asintoto verticale e in modo che il grafico passi per i punti (2,0) e (5,0).

  2. Tracciare il grafico della funzione, considerando anche la derivata seconda per la quale occorrerà determinare gli zeri per via grafica.

  3. Trovare l'equazione della circonferenza tangente alla curva nel punto di ascissa 2 e con centro sulla retta x=-1.

  4. Trovare l'area della regione finita di piano compresa tra la curva e l'asse delle x.

  5. Detto t un reale tale che 0<t<2, calcolare img. Calcolare poi img.

  6. Determinare l'equazione della retta, s, passante per i punti di massimo e minimo relativo della funzione. Determinare poi l'equazione delle parabole con l'asse parallelo all'asse delle ordinate, passanti per i suddetti punti di massimo e minimo relativo e tali che l'area della regione finita di piano compresa tra le parabole e la retta s sia uguale ad 1.

  7. Considerata nuovamente la circonferenza trovata al punto c), indicare con A e B le sue intersezioni con l'asse x, essendo B il punto di ascissa positiva. Trovare l'equazione della parabola passante per A e B e tangente in B alla circonferenza. Si consideri la superficie limitata compresa tra la parabola e la retta passante per A e per il vertice della parabola. trovare il volume del solido ottenuto con una completa rotazione di questa superficie attorno all'asse x.

  8. Considerata la curva di equazione y = ax3 + bx2 + cx -1/3, determinare i coefficienti a, b ,c  in modo che essa sia una primitiva della parabola trovata al punto g). Tracciare poi il grafico della funzione così ottenuta.

Problema 28

Si consideri la funzione img, con a, b, c costanti reali. Determinare le suddette costanti in modo che la curva grafico della funzione in un sistema di coordinate cartesiane ortogonali abbia per asintoto verticale la retta x=1/e, ed noltre abbia un minimo nel punto img. Studiare la funzione così determinata, prestando particolare cura allo studio della derivata seconda.

Problema 29

Un triangolo ABC di ortocentro H e di altezze AM, BN, CL, ha il lato AB di misura 1 e l'angolo AĈB di π/3. Posto ABC=x si determini la funzione img, dove si è posto z = cotanx. Si disegni il grafico della funzione.

Problema 30

E' data una semicirconferenza di centro O e diametro MN=2r. Internamente ad essa, e con lo stesso centro O, si consideri una seconda semicirconferenza di raggio r/2. Su quest'ultima semicirconferenza si consideri un punto A e per esso si tracci la retta parallela al diametro MN. Essa incontri la prima semicirconferenza in C e D. Per C e D si traccino le tangenti alla semicirconferenza e sia P il loro punto di incontro. Congiunto P con O, si indichi con B il punto di intersezione tra OP e CD.

  1. Posto BÔA=x si determinino i limiti per x. Si studi la funzione y = PB/AB in tutto il suo dominio, limitando l'indagine alla derivata prima.

  2. Esprimere la funzione di cui in a) solo per mezzo di tanx. Porre quindi tanx = t e studiare la funzione così ottenuta.

  3. Considerata ancora la funzione di cui in b), si tracci una retta per l'origine in modo che intersechi il grafico della funzione in due punto P e Q. determinare la posizione della retta in modo che la distanza tra P e Q sia  minima. verificare che questa retta è la bisettrice dell'angolo formato dai due asintoti della curva.

  4. Posto ancora BÔA=x si determini x in modo che l'area del triangolo CÔB sia massima.

  5. Utilizzando i risultati ottenuti al punto b) studiare la funzione img, determinando in particolare eventuali punti in cui non è derivabile.

  6. Posto ora OB=x, studiare la funzione y=AB/CB, limitando l'indagine alla derivata prima.

Problema 31

Determinare le costanti a, b, c, d in modo che la funzione img abbia come asintoto la retta y=x, sia tangente alla retta img, la quale, oltre al punto di contatto, ha in comune con la curva il punto di ascissa -4/5. Tracciare il grafico della curva così ottenuta.

Problema 32

Si considerino, al variare di k ≠ 0, le funzioni img. Si dimostri che le funzioni hanno, al variare di k, un massimo o minimo relativo in stesso punto di cui si chiedono le coordinate, precisando per quali valori di k si ha un minimo e per quali si ha un massimo. Supposto poi k>0, si determini k in modo che l'area della regione di piano compresa tra la curva, l'asse delle x e le rette x=0 e x=1/2 sia 1.

Problema 33

Si studi la funzione f(x) = xln|x| - 4x + 2, determinando anche l'equazione delle rette tangenti negli eventuali punti di flesso. Si dica se è possibili prolungare la funzione per continuità nel punto x=0.

Problema 34

Si consideri la funzione f(x) = x|x|. Si provi che il teorema di Rolle non è applicabile in nessun intervallo del dominio. Si mostri che ciò non implica la mancanza di un punto a derivata nulla.

Problema 35

Provare che la funzione img verifica, nell'intervallo [1,2], il teorema di Lagrange e scrivere l'equazione della tangente parallela alla corda passante per gli estremi dell'arco assegnato.

Problema 36

Si consideri la funzione img. Si determinino i valori della costanti a, b, c, h in modo che essa ammetta per asintoto la retta img e per curva asintotica la parabola y = -x2/2 + 2, e in modo che abbia un minimo relativo nel punto di ascissa 1. Indicate con m ed n le ascisse dei punti di minimo, si trovi l'area della regione finita di piano limitata dalla curva, dall'asse x e dalle rette x=n ed x=m.

Problema 37

Si riconoscano, al variare di k, le coniche: kx2 - (k+1)y2 - kx + 2y -1 = 0. Si provi che esistono due punti A e B comuni a tutte le curve. Si disegni la curva corrispondente al valore k = -1/2. Si operi una traslazione di assi che porti l'origine nel centro di simmetria della curva. Si disegni poi la curva corrispondente al valore k=-1 e si operi anche per essa la precedente traslazione di assi. Si calcoli infine l'area della regione finita di piano compresa tra le due curve.

Problema 38

Nella famiglia di funzioni per cui è y " = -cosx - 2sin2x, si individui quella che taglia l'asse delle ascisse nel punto x=π/2 e ha ivi per tangente la retta di equazione y = -2x + π. Si studi la funzione così ottenuta.

Problema 39

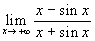
Si calcoli il img, spiegando perché non è applicabile il teorema di l'Hôpital.

Problema 40

Si studi la funzione img, limitando l'indagine alla derivata prima e determinando eventuali punti di non derivabilità. Tra le parabole y = ax2 - 2ax + 3 si trovi quella che interseca la curva nel punto B di ascissa 3. Si calcoli l'area, appartenente al primo quadrante, racchiusa tra i grafici delle due funzioni (x è positivo e quindi..).

Problema 41

Si considerino le curve di equazione img. Si dimostri che è possibile operare una traslazione di assi in modo che esse si possano mettere nella forma Y = c/X, con un opportuno valore di c. Si deduca che le curve sono simmetriche rispetto ad un punto A e si determini il luogo descritto da A al variare di k. Si individui, tra le curve, quella che ha asintoto orizzontale y=1. Si determini l'area della regione finita di piano compresa tra la curva così trovata, il luogo dei punti A, e la retta x=1. Detti poi B e C i punti in cui le curve date tagliano l'asse delle x e delle y rispettivamente, si studi la variazione della distanza tra C e B, in funzione di k.

Problema 42

Si dimostri che ogni cubica razionale intera ha un centro di simmetria. Si verifichi poi che tale centro è l'unico punto di flesso della curva. Si spieghi perché una cubica ha sempre un unico punto di flesso.

Problema 43

Si consideri la funzione img. Si scriva l'equazione della tangente al suo grafico in un punto di ascissa c. Detto t un numero reale, si determini il numero delle tangenti condotte alla curva grafico della funzione dal punto P(0,t). Si verifichi in particolare che esiste una sola tangente condotta per l'origine. Utilizzando i risultati ottenuti si determini il numero delle intersezioni tra il grafico della funzione e la retta y = mx - 4, essendo m un numero reale.

Problema 44

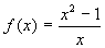
Si dica per quali x è derivabile la funzione img.

Problema 45

Si consideri la funzione img. Si dica se la funzione |f(x)| è derivabile per x=0. Si dica se è possibile scegliere una funzione y = g(x) in modo che la funzione composta y = |sgn(g(x))| sia derivabile per x=0. si dica infine se quest'ultimo risultato è in contrasto con il teorema sulla derivabilità delle funzioni composte.

Problema 46

Si consideri la funzione img. Si dica se è derivabile per x=0. Si dimostri che la funzione f(x)=x2sgn(x) è derivabile per x=0. Questo risultato è in contrasto con qualcuno dei teoremi sulla derivabilità?

Problema 47

Si consideri la funzione img. Si determini il valore delle costanti reali a, b, c, d in modo che il grafico della funzione passi per il punto (0,0) e che abbia per asintoti le rette x=2 e y=3. Si esegua una traslazione di assi che porti l'origine nel punto di intersezione degli asintoti. Che proprietà se ne deduce per la funzione data? Si esegua, successivamente, una rotazione di assi che porti l'asse delle x a coincidere con una delle bisettrici degli angoli individuati dagli asintoti. Che proprietà se ne deduce per la funzione data?

Problema 48

Si studi la funzione img, limitando l'indagine alla derivata prima e calcolando anche il limite della derivata prima quando x tende ad 1.

Problema 49

Sia data una circonferenza di centro O e raggio r. Si consideri la corda  AB=(8/5)r. Si conduca dal punto B la semiretta tangente alla circonferenza e situata, rispetto alla retta AB, nel semipiano contenente il centro. Su detta semiretta si consideri un punto P e si ponga PÂB=x. Detto M l'ulteriore punto di intersezione di AP con la circonferenza, si studi, nei limiti del problema, la funzione img.

Problema 50

Sia f(x) una funzione definita per x>0. Si determini f sapendo che f '(x)=xex e che l'equazione f(x) - lnx - x2 = 0 ammette la radice x=1.

pagina pubblicata il 01/03/2003 - ultimo aggiornamento il 01/09/2003