Al variare del numero reale a si determini algebricamente e graficamente il numero e il
segno delle soluzioni dell'equazione
.
Si consideri l'equazione x5+bx3+c=0. Si dica, al variare delle costanti reali b e c, quante radici ammette.
Sia m un numero reale maggiore di zero. Si dica, al variare di m, quante soluzioni ha l'equazione ex=mx.
Al variare di p e q determinare numero e segno delle radici dell'equazione x3 + px + q = 0.
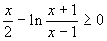
Si risolva la disequazione
. Si calcoli una primitiva della funzione che compare a primo membro.
Trovare il numero delle soluzioni dell'equazione
.
Si consideri la funzione
. Si dica se nell'intervallo [0,1] è applicabile il teorema di Lagrange e.
in caso affermativo, si determinino i punti la cui esistenza è garantita dal teorema
stesso.
Determinare il numero delle soluzioni dell'equazione ln(x2) -
x - 1
= 0. Scrivere le equazioni delle tangenti alla funzione
, condotte dall'origine degli assi.
Scrivere le equazioni delle rette tangenti a y = e-x, per le quali l'ordinata dell'intersezione con l'asse y è doppia dell'ascissa dell'intersezione con l'asse x.
Una funzione f è derivabile in R ed ha le seguenti proprietà:
,
; inoltre il segno di
f
ed f ' sono come nel grafico qui sotto, essendo a < a' < b' < 0 <
b < c'. Si chiede di tracciare, fin dove possibile, il grafico della funzione
(f(x))2.
